社区
首页
圈子
科研专栏
科研宝库
回到旧版
登录
关注
推荐
热榜
全部
研究方法
医学资讯
圈子话题
科研宝库
了解ROC曲线下面积,有这篇文章就够了
一般来说,ROC曲线下面积在0到1之间。如果一项诊断试验的灵敏度是1,而假阳性率是0,那么该诊断试验的ROC曲线下面积就是1。但是这样的诊断试验几乎不存在,一个诊断试验往往不能将所有的患者和非患者都准确地识别出来。
#诊断试验
13
5
分享
作为数据采集和管理利器,EDC有这些强大的功能!
一般来说,一套EDC系统应该具有以下功能:电子临床病例报告表(eCRF)构建 、逻辑核查(自动逻辑核查、人工逻辑核查)、数据质疑管理、源数据核查确认、数据保存和稽查轨迹、电子签名、数据库锁定、数据存储和导出、权限控制、实时同步。这些基本功能
#电子数据采集系统(EDC)
4
0
分享
论文中统计描述要怎么写,来看看杂志主编的建议
一般情况下,在论文方法(Method)的最后一部分,要求作者对统计分析方法进行详细的描述。通常包括几个内容:数据分析所使用的软件及其版本、数据结果的呈现和描述形式、数据分析时所用到的统计检验方法等
#统计描述
1
0
分享
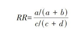
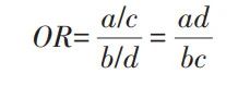
一文总结HR、RR和OR的区别以及适用场景
一般来说,OR值与RR值之间不能互相替代
#队列研究
0
0
分享
加载更多
加载中...
我是有底线的
出错惹,请刷新
加载更多
积分商城
SCI-AI
成就
推荐关注