社区
首页
圈子
科研专栏
科研宝库
回到旧版
登录
关注
推荐
热榜
全部
研究方法
医学资讯
圈子话题
科研宝库
你真的理解p值么? 一句话解释p值的常见误解…
p值解释的并非假设本身,而是数据和假设的关系(比如,我们收集到的A组和B组的数据,和假设“使用A对于住院天数没有影响”的关系)。这是因为,假设本身要么就是对的,要么就是错的,不存在一个概率的问题。
#统计分析思路
1
2
分享
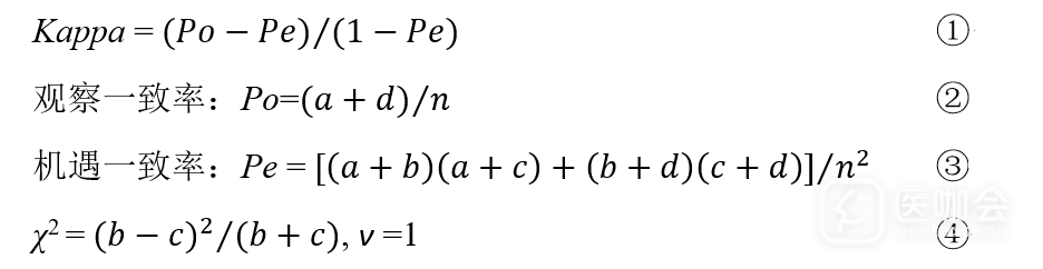
诊断试验的一致性检验,方法那么多,你捋清楚了吗?
评价一致性程度的方法很多,比如说Kappa值、Kendall一致性系数、组内相关系数(ICC)等等,但是选对合适的方法却不容易,本文就帮大家梳理一番!
#诊断试验
3
0
分享
相爱相杀的置信区间和p值
置信区间(confidence interval,CI),常常和观测值的点估计值一起出现,是样本对总体的一个区间估计,也可以被看作是点估计值可信程度的一种体现。 p值是假设检验中的关键结果,从统计学的角度衡量了数据与假设之间的关系。
#统计分析思路
1
0
分享
拿到原始数据就直接统计分析,慢着!你听说过数据标准化处理吗?
为了统一比较的标准,保证结果的可靠性,我们在分析数据之前,需要对原始变量进行一定的处理,即我们本期内容将向大家介绍的数据的标准化处理,将原始数据转化为无量纲、无数量级差异的标准化数值,消除不同指标之间因属性不同而带来的影响,从而使结果更具有
#统计分析思路
1
0
分享
加载更多
加载中...
我是有底线的
出错惹,请刷新
加载更多
积分商城
SCI-AI
成就
推荐关注