全球癌症研究资助的经费都花到了哪些研究领域?
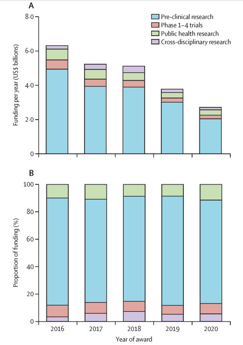
《柳叶刀肿瘤》6月份发了一项研究,根据Dimensions数据库,分析了2016年至2020年来自公共和慈善机构的癌症研究资助情况。研究一共确定了6万多个资助奖项,总经费为24.5亿美元。
研究分期:临床前研究获得的资助额最高,占比73.5%(180亿美元);1-4期临床试验为1.8亿美元(占比7.4%);公共卫生研究为2.3亿美元(占比9.4%)。
肿瘤类型:乳腺癌最高,为2.7亿美元(11.2%);其次是血液肿瘤(2.3亿美元,9.4%)和脑癌(1.3亿美元,5.5%)。
研究主题:癌症生物学获得的资助最多,为9.6亿美元(41.2%),药物治疗(4.6亿,19.6%),免疫肿瘤学(2.8亿,12.1%),手术治疗(0.3亿,1.4%),放射治疗(0.7亿,2.8%),全球健康研究(0.1亿,0.5%)。

https://www.thelancet.com/journals/lanonc/article/PIIS1470-2045(23)00182-1/fulltext