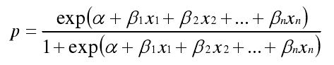
老师您好,在结果解读中B的值是否可作为Logistic回归模型的表达式(图一)中

老师您好,在结果解读中B的值是否可作为Logistic回归模型的表达式(图一)中的各个自变量的系数?如果可以,对于多分类变量设置哑变量后的Logistic回归模结果,该如何解读多个B值的情况(图二)。谢谢老师。