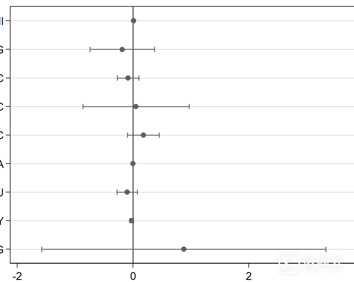
用stata做广义线性模型回归分析时,用coefplot做的图,如图,能否将X范

用stata做广义线性模型回归分析时,用coefplot做的图,如图,能否将X范围缩小这样使点的图能呈现出线比较清楚看出和0的关系。比如最小从-1显示,最大1.5,超出X轴的部分用箭头表示一下?谢谢老师