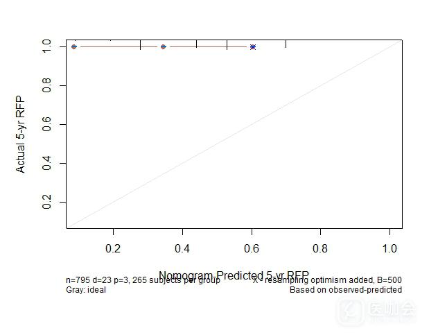
Q1:我利用R语言做好了5年无复发生存的nomogram图,C指数0.814,可

Q1:我利用R语言做好了5年无复发生存的nomogram图,C指数0.814,可是当进行内部验证时,得出的图,3个点连成了直线,斜率为0(如图示),是数据出问题了吧? Q2:验证曲线图下方的注解怎么才能去掉?求代码,非常感谢