2025年11月,《肿瘤预防与治疗》发表了一篇全球疾病负担(GBD)数据库研究,对比了中国与全球早发性结直肠癌疾病负担。结果发现:中国和全球的早发性结直肠癌发病负担持续上升,死亡率和伤残调整寿命年(DALYs)负担则呈显著下降。我国整体疾病负担高于全球同期水平。

原文链接:https://kns.cnki.net/kcms2/article/abstract?v=Ks9d5KSMf4X2wtN4_efO3PHos6vPgerRzYv5pKkKmwYwH-6QqnlpAzHy9Od-l6UJCDvh-z-HhcizpvtKfQP7xR952WFdktqfkj3MTqIjq-6DGKExoQpd7kgZGbaYaITxCjwUCIU-XYoR0T_fCivrSlxCky081sq2DuRQXKD-zboQPxUPVUklK8h6ndt1QOK5&uniplatform=NZKPT&captchaId=be81a971-ae5c-4dd7-871f-d6daa65f89f0
该研究提取1990-2021年中国及全球年龄为15-49岁早发性结直肠癌(EO-CRC)患者的疾病负担数据,计算其年龄标化率。使用Joinpoint回归分析疾病负担的变化趋势,通过年百分比变化和其平均年百分比变化(AAPC)评估疾病负担变化特征。使用分解分析评估疾病负担的驱动因素,并使用贝叶斯-年龄时期-队列模型预测2022-2050年的疾病负担趋势。
中国和全球EO-CRC疾病负担
1990-2021年,中国EO-CRC的发病例数从3.50万例增至7.86万例,增长124.57%,超过全球同期发病例从10.73万例增至21.18万例,增幅97.39%。中国和全球年龄标化发病率分别从6.19/10万升至9.67/10万,整体上升56.22%;从4.58/10万升至5.15/10万,增幅12.45%。
与1990年相比,2021年中国EO-CRC的年龄标化死亡率和年龄标化DALYs率分别下降了25.00%和23.41%,均高于全球同期降幅(分别为23.41%和22.87%)。
表.1990-2021年中国和全球EO-CRC疾病负担 
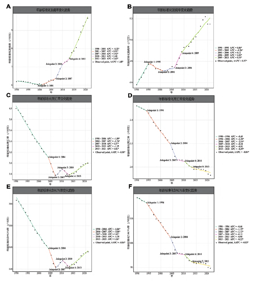
中国和全球EO-CRC疾病负担的变化趋势
1990-2021年,中国与全球EO-CRC的年龄标化发病率整体均呈显著上升趋势,中国的AAPC(1.48%)高于全球(0.37%)。中国在2007-2010、2013-2021年增长最为显著;全球在1990-1995、2006-2009年增加最明显。
同一时期,中国与全球的年龄标化死亡率、年龄标化DALYs率整体均呈显著下降趋势。但中国这两者的情况在2007-2010、2013-2021年均出现显著上升趋势。
图.1990-2021年中国与全球EO-CRC年龄标化发病率、死亡率、DALYs率的Joinpoint回归分析,左,中国;右,全球。
中国与全球EO-CRC负担的分解分析
1990~2021年,中国EO-CRC的疾病负担变化主要受年龄结构变化和流行病学变化驱动,且存在性别差异。男性发病率增加主要由流行病学变化推动,贡献64.21%;死亡率和DALYs率的变化主要由年龄结构变化推动;贡献分别为130.70%和124.26%。女性发病率增加受年龄结构变化推动;贡献82.16%;死亡率和DALYs率的变化则由流行病学变化推动,贡献分别为232.49%和203.89%。
全球疾病负担的变化主要由人口增长驱动,发病率贡献54.98%;死亡率和DALYs率变化的贡献分别为129.16%和135.83%。
表.1990-2021年中国与全球早发性结直肠癌疾病负担的分解分析 
2022-2050中国与全球EO-CRC负担及趋势
2022-2050年,中国与全球EO-CRC在总人群、男性及女性的疾病负担均预计呈下降趋势。中国年龄标化发病率预计下降10.49%,低于全球降幅22.11%;但年龄标化死亡率和年龄标化DALYs降幅(53.92%,54.97%)均高于全球降幅(44.27%,45.41%)。 
图.2022-2050中国与全球EO-CRC疾病负担变化趋势
过去30年,我国与全球EO-CRC的发病负担显著上升,但在早期诊断、治疗和管理等方面取得了很大进展,导致该疾病的死亡和DALYs负担显著下降。预计未来30年,我国与全球的EOCRC负担均呈下降趋势。与全球整体水平相比,我国的疾病负担更重。
参考文献:肿瘤预防与治疗,2025,38(11):970-979.