
社区
大家好!有一个问题向大家请教,希望可以多多指导:
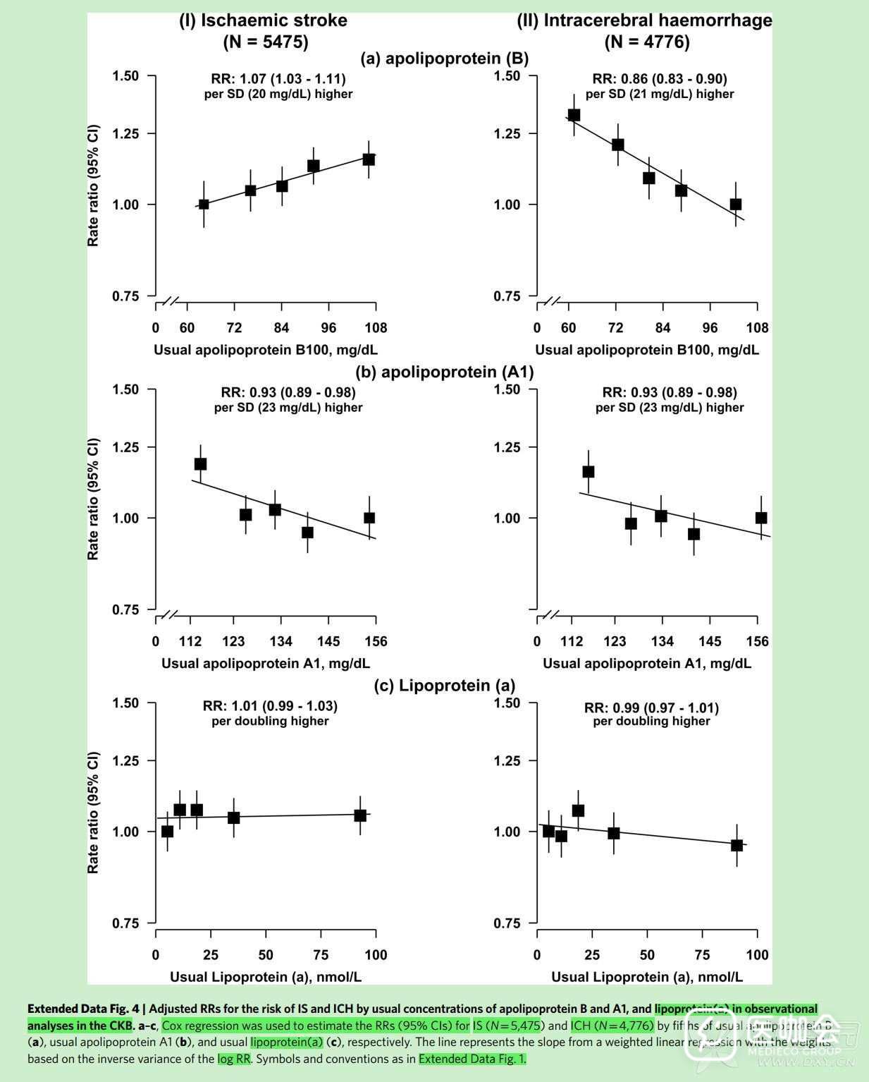
如何解读偏态分布因变量-lg转换后-的多元回归结果? 如题,一个case-control研究,所研究的血脂指标A(代指)是一个极偏态分布变量(mg/dl)。参考其他文献的方法,对变量进行lg转换,即B=log10(A)。将B纳入多元回归方程,得出系数β(即OR值)。 请问如何解读这个OR值,统计学上我知道OR值等于B(lgA)每增加1个单位,因变量发生风险Y增加至多少倍。但是在实际解读中的呢? 比如参考文献中是进行的自然对数转换,文献讨论里面解读是A每增加一个SD,Y增加多少倍。 那么我还看到这样一个文献:如截图 为什么同样进行这三个血脂指标的转换(LogRR),解读时候inverse variance of logRR,在ApoB、ApoA和Lp(a)三个指标中分别是per SD、perSD、per doubling higher呢? 求详细解答。