社区
首页
圈子
科研专栏
科研宝库
回到旧版
登录
研究问答
详情
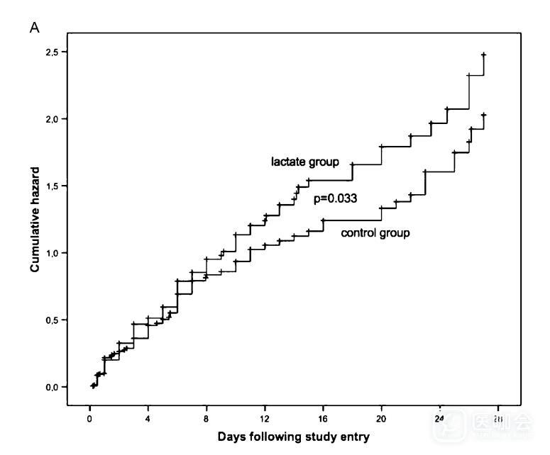
大家好!有一个问题向大家请教,希望可以多多指导:
这个图用prism可以做吗,具体天数数值,怎么才能输入到prism中?因为prism只认定0或1