社区
首页
圈子
科研专栏
科研宝库
回到旧版
登录
最新发布
最新回帖
|
2023-08-28 15:02:50
学习统计分析
这个平台不错,讲的统计很详细
5
2
分享
|
2023-08-29 17:56:50
队列研究,暴露水平分组(高、中、低暴露组),如何计算各暴露组和对照组(非暴露组)样本量
队列研究,暴露水平分组(高、中、低暴露组),想确定是否暴露水平约高,结局发生率越高(剂量反应关系),应该怎样计算各暴露组和对照组的样本量,谢谢大咖。
#临床研究100问
0
2
分享
|
2023-08-28 09:32:00
认证之后只有一张券
认证通过时间还是挺快的,昨天晚上认证的今天早上就通过了,但是发现只有一张券,需要发帖另外一张才能激活,最近在学meta分析,上周还是免费课程,昨天学习的时候突然就不能学了,只好想别的办法
1
2
分享
|
2023-08-28 09:09:31
认证以后只有一张基础课程劵
从免费到收费,也是意料之中的事情,可是条目上认证基础会员赠送2张基础课程劵,为什么认证以后只发了一张?
#临床研究100问
0
2
分享
|
2023-08-15 15:08:28
基于队列研究估计暴露因素与罕见结局的关联,如何选择统计方法?
本文内容来自:刘晓航, 王晨, 严若华, 彭晓霞, 阴赪宏. 基于队列研究估计暴露因素与罕见结局关联的统计方法选择. 中华流行病学杂志, 2023, 44(7): 1126-1132. 感谢彭晓霞老师的授权。估计预测因素与结局之间的关联
4
1
分享
|
2023-08-13 13:47:52
SPSS做倾向性匹配分析后两组资料比较为什么仍有差异?
SPSS做倾向性匹配分析后两组资料比较为什么仍有差异?
#SPSS
1
1
分享
|
2023-08-11 10:30:20
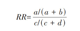
HR、RR和OR的异同及适用场景
以二分类暴露与二分类结局为例,研究结果一般可整理成经典的四格表:如果是队列研究和临床试验,估计暴露与结局之间关联强度的指标是相对危险度(RR)或风险比(HR),即暴露组中某疾病(结局)的发生风险或发生率是非暴露组的多少倍:病例对照研究基于发
2
0
分享
|
2023-08-07 08:34:33
广义估计方程在Stata SAS R中的实现
1 广义估计方程的概念1986年,Zeger 和Liang在《Biometrics》上发表了题为《Longitudinal Data Analysis for Discrete and Continuous Outcomes》的文章,提出了
#R语言
6
0
分享
|
2023-08-01 17:34:21
两因素重复测量方差分析,满足正态分布但是方差不齐
该如何进行矫正呢?
#SPSS
1
1
分享
|
2023-07-26 10:40:23
亚组分析
我的研究是一种治疗对术后患者身体功能的影响,分为试验组和对照组,分析了结局指标的组间差异(连续变量)。审稿人建议根据不同手术方式(分为A/B,2种)来亚组分析,明确我的治疗对哪类手术患者的康复效果更好。不知道spss能否实现做个操作?根据手
1
2
分享
|
2023-07-21 11:52:12
spss线性混合模型
在随机对照试验中,分为干预组和对照组,进行了3次的重复测量。运用线性混合模型比较两组间差异,并分别比较每个时间点的差异,请问在spss中该如何操作呢这篇文章里用的是这个方法
0
0
分享
|
2023-07-19 15:41:04
mPFS在KM曲线中正好是在横线上,以哪种结果为准?
在KM曲线上,50%生存率正好在横线位置,GraPhad和R语言的mPFS结果选取的中间的点,SPSS的结果选择最左侧的点,请问哪种结果更合理一些呢?
#统计图表
1
1
分享
|
2023-07-05 06:52:40
现在国内基于R开发了很多临床分析的软件,大家觉得哪家强?
目前这些临床研究的软件,我比较了解易佴软件。请各位各抒己见,多谈谈其他类似软件的功能,应用范围等!
#医生的科研之路
2
3
分享
|
2023-07-14 10:48:21
变化情况的K-均值聚类分析的实现
要将两个时间点所测数据的变化值的聚类分析,可以用什么软件/方法实现呢?比如将01年到05年血红蛋白的变化值,通过聚类分析分成几个组,即第一组为从01年的110g/L~05年的120,第二组为01年的115g/L~05年的110g/L,具体应
1
1
分享
|
2023-07-11 15:23:16
请选择适用于重复测量数据和纵向数据的分析方法(可留言补充)
#统计学方法
3
1
分享
|
2023-07-01 21:59:01
统计练习常用数据集【附数据,可免费下载】
本次提供60多个数据,可以根据自己的需要下载学习使用。**学习用途数据下载声明**本文提供的数据仅供学习用途。任何人下载或使用此数据,都应遵守以下条款:1. 下载者必须将数据仅用于学习目的,不得用于任何商业或非法用途。2. 如果下载者违反上
#临床数据管理
6
4
分享
|
2023-06-25 17:28:40
用Python进行单样本T检验(附数据)
编程语言:python数据来源:选择的R语言自带数据库birthwt,大家可以自己去导出,本次也提供了数据(见附件)目的:使用Python进行对 birthwt数据 里面 bwt 变量进行单样本的T检验使用的Python库:pandas
#Python
4
7
分享
|
2023-06-25 19:40:48
用Python进行独立样本T检验
独立样本T检验在医学研究中有广泛的应用。它常被用于比较不同治疗方法对患者疾病恢复的影响。例如,在临床试验中,可以使用独立样本T检验来比较新药与常规治疗对患者病情的改善情况。此外,独立样本T检验也可以用于比较不同人群或不同时间
#Python
3
9
分享
|
2023-07-01 21:50:03
使用Python进行非参数检验【附代码文件和数据文件】
非参数检验(Nonparametric tests)在医学统计中起着重要的作用。它们的名字来源于它们不依赖于参数模型,也就是说,不需要假设数据遵循特定的分布,如正态分布。这使得非参数检验对数据的形状和分布要求较少,更加灵活和通用。**用途和
#Python
4
0
分享
|
2023-07-01 21:42:23
使用python进行正态性检验【附代码文件和数据文件】
正态性检验在可以说医学研究中非常重要,也是特别基本的一个统计方法,它可以用来确定数据集是否遵循正态分布。这个假设对于许多统计分析方法来说是基础,如t检验、ANOVA(方差分析)、回归分析等。如果数据不符合正态分布,那么使用这些方法可能会导致
#Python
0
0
分享
加载更多
加载中...
我是有底线的
出错惹,请刷新
加载更多