社区
首页
圈子
科研专栏
科研宝库
回到旧版
登录
关注
推荐
热榜
全部
研究方法
医学资讯
圈子话题
科研宝库
如何把你的单位加入SCI期刊投稿系统的“机构数据库”?
为单位申请ROR ID和Ringgold ID,大家投稿都方便。
#论文报告规范
0
0
分享
在学术期刊发表论文,看看审稿人的100条建议
作为一名有丰富经验的同行评审专家,Niamh Brennan在审稿过程中发现过很多问题,包括摘要难以理解、参考文献混乱和拼写错误等。为此,Brennan教授根据既往经验,撰写了《100 research rules of the game》
#论文撰写指导
1
0
分享
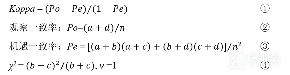
诊断试验的一致性检验,这么多方法,全都搞清楚了吗?
评价一致性程度的方法很多,比如说Kappa值、Kendall一致性系数、组内相关系数(ICC)等等,但是选对合适的方法却不容易,本文就帮大家梳理一番!
#诊断试验
1
1
分享
控制混杂因素,这4种倾向性分析方法不想了解下吗?
如果有大量的混杂因素需要同时进行调整的话,此时该怎么办呢?今天我们来为大家介绍一种控制混杂因素的常用方法——倾向性分析(Propensity Analysis)(倾向性评分匹配法、倾向性评分分层法、倾向性评分校正法、倾向性评分加权法)
#统计操作指导
6
0
分享
加载更多
加载中...
我是有底线的
出错惹,请刷新
加载更多
积分商城
SCI-AI
成就
推荐关注