社区
首页
圈子
科研专栏
科研宝库
回到旧版
登录
关注
推荐
热榜
全部
研究方法
医学资讯
圈子话题
科研宝库
如何比较两种方法的灵敏度和特异度?来看实例教程!
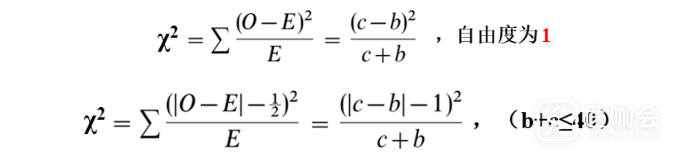
举个栗子,200人参加了某项临床研究,分别进行了CT和超声两种检查,计算CT和超声相对于金标准的灵敏度和特异度,然后问题就来了,你怎么衡量两种方法的好坏。
#诊断试验
22
31
分享
如何撰写Meta分析?来看期刊编辑的建议
《Anaesthesia》每个月都会拒绝一些从方法学角度来说非常漂亮,但却没有对临床上相关的和/或重要的话题进行调查的Meta分析。
#Meta分析
2
0
分享
如何理解线性回归的方差齐性检验?
不少人可能对方差齐性检验不是很重视,觉得正态性可能更重要,但其实方差齐性的重要程度可能更大,因为它可能会让你的标准误发生很大变化,从而导致结论的变化。线性回归中,方差齐性是一个必须考虑的前提条件。本文主要介绍一下,如何理解线性回归中的方差齐
#统计分析思路
0
0
分享
如何理解回归模型中的"调整"和"独立作用"
通过构建多因素回归模型,即所谓“调整”其他混杂因素的影响,实际上是把该混杂因素的作用从暴露/处理因素的作用中剥离出来,在消除混杂因素的作用后,剩下的即为暴露/处理因素的“独立”作用
#统计分析思路
15
3
分享
加载更多
加载中...
我是有底线的
出错惹,请刷新
加载更多
积分商城
SCI-AI
成就
推荐关注