UKB+NHANES数据(IF=16.6):2型糖尿病患者应该上午还是下午运动?

2026年1月9日,《Diabetes Care》(IF=16.6)发表了一篇“Brief Report”,探讨了中高强度体力活动的时间点与2型糖尿病风险及血糖指标之间的关联。研究显示:在保持中高强度体力活动总量不变的前提下,将活动集中在下午至晚上时段,与2型糖尿病发病风险最大程度的降低、更低的糖尿病患病率及更优的血糖指标相关。
原文链接:https://doi.org/10.2337/dc25-2095
研究背景
越来越多的证据表明,体力活动的时间点与心脏代谢疾病结局相关,例如肥胖、心血管疾病、2型糖尿病以及血糖指标。
一些研究发现,中高强度体力活动(MVPA)或锻炼的时间点与糖代谢相关,且多数研究显示下午或晚上进行活动比早晨获益更大。但这些研究样本量普遍较小,且均未探讨MVPA时间点与2型糖尿病风险之间的关联。
本研究假设:下午和晚上的MVPA对预防糖尿病具有最大的代谢益处,在英国生物银行(UKB)中探讨了MVPA时间点与2型糖尿病风险之间的关联,并使用美国国家健康与营养调查(NHANES)的横断面数据,分析MVPA时间点对糖尿病患病率及血糖指标的影响。
研究方法
在UKB中,针对加速度计子研究中的2型糖尿病数据进行了时间-事件分析。在NHANES中,针对2011–2014年度中具有活动记录仪数据的参与者进行了横断面分析,考察了糖尿病患病率及血糖指标(空腹血糖、空腹胰岛素、稳态模型评估的胰岛素抵抗指数 [HOMA-IR] 和口服葡萄糖耐量试验 [OGTT])。
在UKB和NHANES中,均以每小时的MVPA时长作为暴露变量。UKB中采用Cox比例风险模型分析该暴露变量与2型糖尿病发病率的关联,NHANES中使用Logistic回归/线性回归模型,分析暴露变量与糖尿病患病率和血糖指标的关联。
在UKB中,通过数据驱动方法将非夜间时段(05:00–23:59)划分为三个时间窗。使用惩罚立方样条分析各时间窗的MVPA与2型糖尿病风险的非线性关联。根据参与者>50%的MVPA所在的时间段,将其划分为四个“运动时间组”,并比较各组间的糖尿病风险:清晨(5:00-9:59)、上午至中午(10:00-14:59)、下午至晚上(15:00-24:00)、时间不定(任一时段运动量都未达到50%)。
研究结果
UKB数据库的结果
研究纳入UKB中84,528名参与者。中位随访7.5年期间,共有2,015名参与者发生2型糖尿病。
在UKB中,三个时间窗的MVPA与2型糖尿病发病风险存在非线性关联,在任一时间段内,较高的MVPA均与较低的糖尿病发病风险相关。
图.UKB中MVPA时长与2型糖尿病风险的关联
在UKB中,以清晨时段(05:00–09:59)的MVPA为参照组,在未调整总体MVPA量的情况下,时间不定组与最低的2型糖尿病发病风险相关;在调整总体MVPA量后,下午至晚上时段(15:00-24:00)组显示出最低的糖尿病发病风险。
表.UKB参与者不同分组的2型糖尿病发病风险
NHANES数据库的结果
研究纳入NHANES 6998名参与者,其中1295例患2型糖尿病。
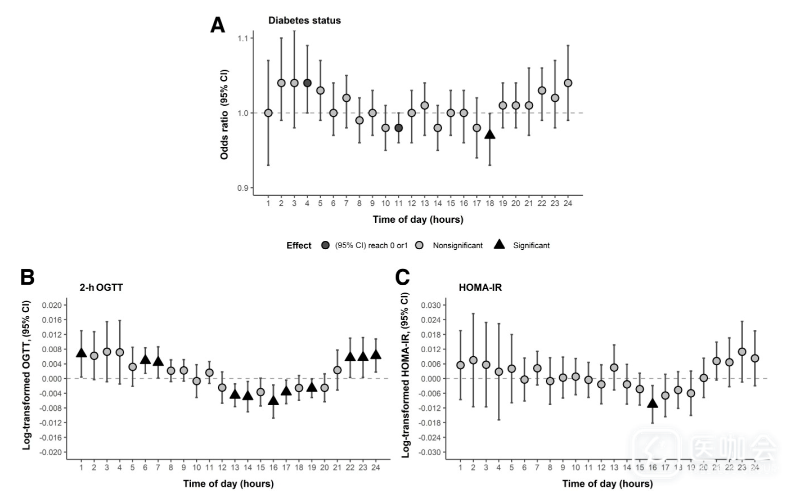
下午进行MVPA存在糖尿病患病降低的趋势。其中,17:00–17:59的MVPA与糖尿病患病降低相关(OR 0.96,95%CI 0.93–1.00,P=0.034)。午后至晚上进行MVPA与OGTT 2h、HOMA-IR、空腹血糖及空腹胰岛素的关联显示出相似的趋势,但关联更弱。
图.NHANES参与者中,每小时MVPA分钟数与糖尿病患病率、OGTT 2h 、HOMA-IR的关联。
讨论
在UKB参与者中,与清晨相比,下午至晚上进行MVPA与更低的2型糖尿病发病风险相关。NHANES数据中也观察到类似的趋势:下午和傍晚时段的MVPA与更低的糖尿病患病率及更优的血糖指标存在弱关联。
既往研究总体活动时间的研究显示,上午较晚时间段和下午较晚时间段均是总体活动的最佳活动时间。与本研究的结果存在差异,这种差异可能反映了总体活动(主要反映日常习惯性工作和生活作息)与MVPA(更能代表自主安排的锻炼)之间的区别,或可认为MVPA的时间安排对于运动建议更具参考价值。
研究中,时间不定组的平均MVPA总量最高,且在未调整总体活动量前表现出最大的风险降低。这表明将MVPA分散在一天中进行可能有助于累积更高的活动总量,是一种实用且有效的2型糖尿病预防策略。在MVPA总量不变的情况下,将活动集中在傍晚进行可能效果最佳。
研究优势:大样本量、使用加速度计测量MVPA,研究结局指标多样。
研究局限性:
- UKB中的部分协变量数据在加速度计数据收集前数年进行的测量,后续可能发生变化进而产生偏倚,且无法评估BMI的中介效应。
- 清晨组在UKB人群中仅占约5%,可能限制结果的普适性。
- 可能存在残余混杂因素和未测量的混杂因素,如进餐时间。
- UKB数据的研究结果外推性有限。
研究结论
在保持MVPA总量不变的前提下,与其他时间段相比,将活动集中在下午至晚上,与2型糖尿病发病风险最大程度的降低、更低的糖尿病患病率及更优的血糖指标相关。
参考文献:Diabetes Care. 2026 Jan 9:dc252095. doi: 10.2337/dc25-2095.
