对于经常上夜班的医护人员,这种晚间光照措施或能减轻疲劳程度
夜班工作与各种不良影响存在关联,如疲劳、睡眠障碍、易犯错误等。为减轻这些不利影响,有研究者建议采用夜间光照,这是一种改变昼夜节律和促进适应夜班的有效方法。对夜班工作人员的现场和实验室研究表明,夜间光照可以改善睡眠、情绪、警觉性和认知能力。然而,夜间光照也被认为是肥胖、抑郁和癌症等疾病的危险因素。
近期,一项随机对照试验探索了夜班开始前采取晚间光照干预(evening light intervention)对护士夜班期间疲劳和工作表现的影响。
全文链接:https://www.sciencedirect.com/science/article/pii/S2352721823000359
研究方法
- 研究人群
本研究在加拿大蒙特利尔的三家大型医院招募了123名护士,最终57名全职轮班护士完成了这项研究。这些护士交替上白班和夜班,总体而言,大多数轮班时间为12小时,从19:30或07:30开始。
参与者需要在3个不连续的10天参与研究。第一个10天作为基线期;之后参与者进入随机分配的干预措施,在第二和第三个10天接受干预措施。参与者还持续佩戴一个记录光暴露的手腕传感器。
- 实验组干预措施:以晚间光照为基础的措施
参与者在要上第一个夜班的前一天晚上,被要求晚睡一小时,并使用提供的眼罩睡觉,睡眠时长尽可能长。在有夜班的当天,上午戴黑色太阳镜避免光照,傍晚根据情况可以午睡一会儿,在值班开始前(即18:30-19:30)接受40分钟的亮光照射(干预方案见图1)。该干预措施的目的是促使护士夜班期间的昼夜节律推迟。
图1. 晚间光照干预计划
- 对照组干预措施:时间营养学(chrononutrition)
参与者会收到关于正餐和零食时间和内容的建议,如夜班前吃一顿完整的正餐,工作时吃健康零食(见图2)。基于时间营养学的建议已被证明可以提高警觉性、代谢功能和睡眠。
图2. 以时间营养学为基础的对照组干预计划
主要结果
- 两组的犯错误情况
相比对照组,实验组(晚间光照干预)参与者报告的错误更少(p=0.018)。在对照组,受试者基线期报告的平均错误数为19个,在干预期间,平均错误数为18个。在晚间光照干预组,受试者基线期报告的平均错误数为 21个,在干预期间,平均错误减少至7个,减少了67%。多数错误与给药(28%;如剂量有误或在错误时间给药)、操作(26%;如忘记抽血)和记录(21%;如写错了患者的记录)有关。
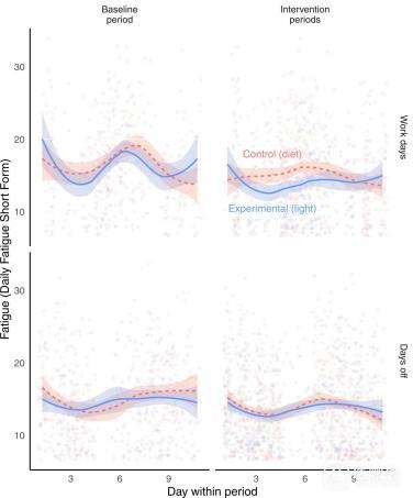
- 两组的疲劳情况
两组干预措施均显示可以减轻工作日期间的疲劳,但晚间光照干预组的疲劳减轻幅度更大(图3)。这一结果在研究后的问卷调查中也得到了体现,晚间光照干预组有更多的参与者表示工作时的疲劳或警觉性得到改善(73% vs. 41%)。
图3. 不同时期的疲劳程度
结 论
夜班前40分钟光照+上午避光+安排睡眠时间的措施可能是一种有效的方法,可以减少轮班护士的疲劳和工作有关错误。快速轮班的工作者或许可以尝试以晚间光照为基础的干预措施。
参考文献:
Sleep Health. 2023;S2352-7218(23)00035-9.
