经常吃外卖、不运动,与大学生抑郁和焦虑风险增加有关

近年来,中国大学生的抑郁和焦虑症状及其共病率呈上升趋势,已成为一个重要的公共卫生问题。心理症状与生活方式选择密切相关,尤其是外卖食品消费和身体活动水平。尽管已有研究表明饮食行为和身体活动与心理健康之间存在关联,但外卖食品消费、身体活动水平及其联合效应对大学生心理症状的影响仍不明确。
2025年2月17日,《BMC Public Health》(IF=4.5)发表了一项研究,旨在探讨中国大学生外卖食品消费、身体活动水平与抑郁和焦虑共病症状(CDAS)之间的关联。
原文链接:https://bmcpublichealth.biomedcentral.com/articles/10.1186/s12889-025-21605-x
研究方法
本研究采用分层整群抽样方法,选取了中国4个省份(河北省、湖北省、江西省和广东省)的14,340名18-22岁的大学生作为研究对象。
图. 研究流程图
通过自填问卷收集了外卖食品消费行为、身体活动水平(使用国际身体活动量表(IPAQ)简版)以及抑郁和焦虑症状(使用DASS-21简版)的数据。采用卡方检验和二元logidtic回归分析探讨了外卖食品消费、身体活动水平与CDAS之间的关联。
研究结果
本研究调查了14,340名18-22岁中国大学生的外卖食品消费行为、身体活动水平和心理症状(抑郁和焦虑)。总体而言,抑郁症状、焦虑症状和CDAS的检出率分别为26.26%、34.58%和23.75%。男生的CDAS检出率(25.2%)高于女生(22.8%)。
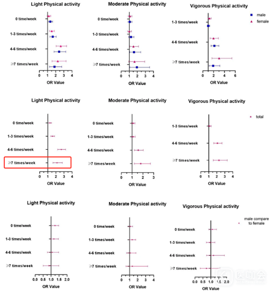
每周吃外卖次数与CDAS的关联
较高的外卖食品消费频率与CDAS风险增加显著相关。与每周不吃外卖的学生相比,每周吃外卖1-3次、4-6次和≥7次的学生CDAS风险分别增加15.1%、89.4%和77.9%。
身体活动与CDAS的关联
进行轻度身体活动的学生CDAS风险显著高于进行高强度身体活动的学生(OR=1.265,95%CI: 1.149–1.394)。
图. 每周吃外卖次数、身体活动与CDAS风险的关联
联合效应
外卖食品消费和身体活动水平的联合效应显示,进行轻度身体活动且外卖食品消费频率较高的学生CDAS风险显著增加。例如,进行轻度身体活动且每周消费外卖食品≥7次的学生CDAS风险为2.137(95%CI: 1.637–2.789)。
图. 每周吃外卖次数、身体活动与CDAS风险的关联
性别差异
男生的CDAS风险更容易受到外卖食品消费和身体活动水平的影响。例如,男生每周消费外卖食品≥7次的CDAS风险为1.573(95%CI: 1.196–2.070),而女生为1.998(95%CI: 1.530–2.608)。
总结
本研究表明,经常吃外卖和较低的身体活动水平可能是大学生抑郁和焦虑症状的风险因素。尤其是男学生,其心理症状更容易受到这些因素的影响。研究还发现,外卖食品消费和身体活动水平的联合效应对CDAS有显著影响。
因此,建议大学生增加中高强度身体活动,并建立健康的饮食习惯,以预防心理症状的发生。未来的研究应进一步探讨其他可能影响CDAS的因素,如屏幕时间、睡眠质量和药物使用等。
参考文献:BMC Public Health. 2025 Feb 17;25(1):644.
------分割线------
医咖会APP正式上线啦!现在下载医咖会APP,可以获取惊喜好礼!
1、在医咖会APP完成注册登录,即可获得2张基础课程券!
2、完成职业认证的用户,在医咖会APP用1积分即可兑换2025年医咖会科研台历(数量有限,先到先得!)
下载医咖会APP方式:
1、扫描下方二维码下载APP
2、在应用商店搜索【医咖会】进行下载
3、点击链接:医咖社区 - 引导下载 (mediecogroup.com)进行下载
