大庆研究随访34年:约50%的新诊断糖尿病或糖耐量受损人群发生卒中(IF=16.6)
【2025年8月8日更新:值医咖会9周年之际,赶快去医咖会APP限时领取基础会员权益,含28张基础课程券,各种科研课程随心看】
25年5月,中日友好医院李光伟教授团队在《Diabetes Care》(IF=16.6)发表了大庆研究的34年随访成果。研究发现:约50%的新诊断糖尿病或糖耐量受损人群发生了卒中;糖耐量受损人群接受生活方式干预6年,卒中风险显著下降。
原文链接:https://doi.org/10.2337/dc24-2675
研究背景
过去三十年,中国卒中负担持续加重。血糖调节异常,例如糖尿病和糖耐量受损,会增加缺血性卒中的风险。糖尿病还与预后更差相关,存在更高的死亡率、复发率和病后更严重的残疾。
中国拥有全球最多的糖尿病人群,但糖尿病患者的卒中风险在30多年间如何演变、糖耐量受损个体与糖尿病患者的卒中风险是否存在差异、接受生活方式干预的糖耐量受损人群的长期卒中风险是否降低等问题,依然悬而未决。
本研究旨在调查新诊断2型糖尿病、糖耐量受损(IGT)和糖耐量正常(NGT)的中国成年人在34年随访期内的卒中发病率。
研究方法
研究人群
1986年,大庆研究旨在评估中国黑龙江大庆成年人的糖尿病患病率,110,660名25-74岁的居民接受了筛查,在标准早餐后2h检测血糖水平,超过6.7 mmol/L的参与者进行75g口服糖耐量试验(OGTT),根据检查结果分组:
- 新诊断2型糖尿病:满足糖尿病诊断标准,即空腹血糖(FPG)≥7.8 mmol/L或OGTT 2h血糖≥ 11.1 mmol/L。包括630名参与者。
- IGT:FPG<7.8 mmol/L且OGTT 2h血糖7.8 mmol/L-11.1 mmol/L。包括576名参与者,随机分配至生活方式干预组或对照组,为期6年。
- NGT:FPG<5.8 mmol/L且OGTT 2h血糖<6.7 mmol/L。纳入与IGT性别年龄相似的519名参与者。
卒中
评估参与者的卒中发病率。卒中定义为血管源性急性神经功能障碍,伴有持续≥24h或导致死亡的局灶性或全身性症状,不包括短暂性脑缺血发作。随访34年,自1986年1月1日开始,持续至死亡、失访或2020年12月31日。
统计分析方法
使用Kaplan-Meier计算累积卒中发病率,使用对数秩检验(log-rank)进行组间比较。通过拟合威布尔分布参数模型估算中位生存时间,并从生存函数中得出卒中发病的中位延迟时间。
使用Cox比例风险回归模型评估不同血糖状态对卒中的影响。模型纳入了性别、年龄(每增加10岁)、BMI(每增加5 kg/m²)、收缩压(每增加10 mmHg)、吸烟状况和总胆固醇水平等协变量。计算风险比(HR)评估不同血糖状态的卒中风险。
敏感性分析采用Cox模型,亚组分析按性别分层。为控制I类错误,采用Bonferroni校正,设定多重比较的显著性水平为P<0.01,其他分析为P<0.05。
研究结果
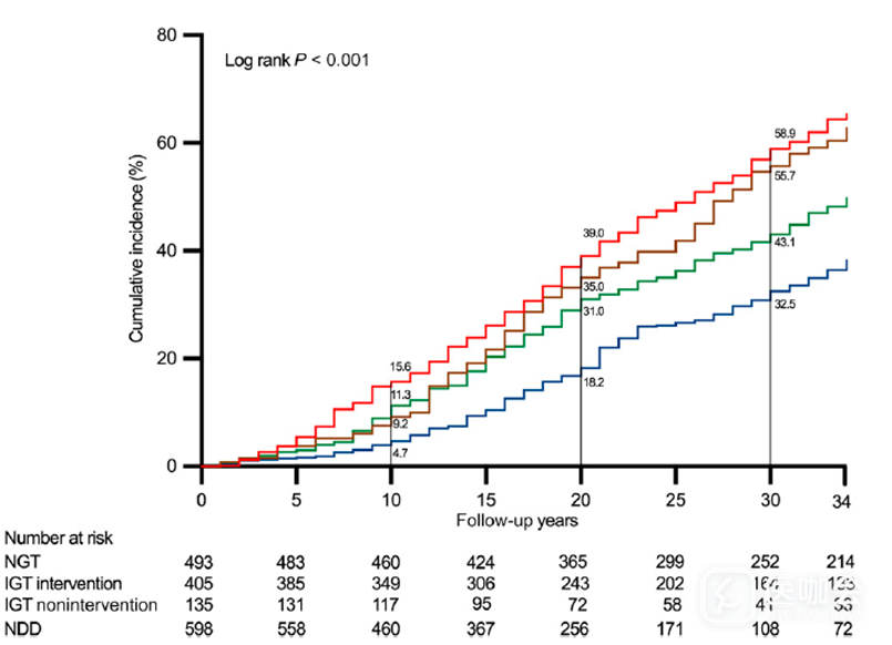
2020年,新诊断2型糖尿病组包括598名参与者、IGT干预组包括405名参与者、IGT非干预组包括135名参与者、NGT组包括494名参与者。
卒中发生情况
共发生了687例卒中事件:
- 新诊断2型糖尿病组的卒中累积发病率最高,达65.4%(95% CI 59.8–70.4),即24.3例/1000人年。
- IGT非干预组为62.8%(95% CI 52.3–71.6),即23.1例/1000人年。
- IGT干预组为49.8%(95% CI 44.2–55.1),即18.5例/1000人年。
- NGT组的卒中发病率最低。
图.各组的累积卒中发病率
与新诊断2型糖尿病组相比,NGT组卒中发生的中位时间延迟了16.8年(95% CI 11.9-21.7),IGT干预组延迟了7.8年(95% CI 4.2-11.5),而IGT非干预组延迟了2.3年(95% CI -2.5-6.6)。
卒中风险
调整潜在混杂因素后,与NGT组相比,新诊断2型糖尿病组和IGT组的卒中风险均显著更高(所有P < 0.05)。新诊断2型糖尿病组、IGT非干预组和IGT干预组HR为1.80(95% CI 1.46-2.21)、1.52(95% CI 1.11-2.07)和1.33(95% CI 1.17-1.63)。
与新诊断2型糖尿病组相比,IGT干预组的卒中风险显著降低(HR 0.77, 95% CI 0.64-0.94),尤其是女性(HR 0.64, 95% CI 0.47–0.88, P = 0.006)。但IGT非干预组未观察到显著降低(HR 0.82, 95% CI 0.69-1.18)。
研究结论
大庆研究作为首个报告中国新诊断2型糖尿病和糖耐量受损人群随访超30年的队列研究,证实糖尿病和糖耐量受损均显著增加长期卒中风险。但糖耐量受损人群经过6年强化生活方式干预后,卒中风险显著降低。
在34年间,约50%新诊断糖尿病或糖耐量受损的中国成年人发生了卒中。这强烈提示卒中是中国糖尿病人群的重要大血管并发症,需积极开展糖尿病管理和预防。糖耐量受损人群的生活方式干预带来的卒中风险下降趋势在34年随访中持续存在,提示早期积极生活方式干预可能产生持续超过30年的“代谢记忆”效应。
参考文献:Diabetes Care 2025; 48 (10): 1721–1727. https://doi.org/10.2337/dc24-2675
