柳叶刀子刊:糖尿病前期人群的2型糖尿病、癌症、死亡风险

2025年11月,《Lancet Diabetes & Endocrinology》在线发表了一篇针对33万糖尿病前期患者的研究,探讨其2型糖尿病和癌症风险。研究发现:糖尿病前期患者与进展为2型糖尿病患者的癌症发病率相似。诊断糖尿病前期后,2型糖尿病与癌症的发展轨迹因诊断年龄差异显著,针对该人群的糖尿病与癌症防治策略,需依据其诊断年龄进行个性化制定。
原文链接:https://www.thelancet.com/journals/landia/article/PIIS2213-8587(25)00285-2/fulltext
研究背景
糖尿病前期是指血糖水平高于正常值但未达到2型糖尿病诊断标准的临床代谢阶段。多个研究证实,处于糖尿病前期的个体发展为2型糖尿病、心血管疾病、癌症的风险升高。
本研究旨在描述从糖尿病前期进展至癌症的发展轨迹,同时考虑其发生2型糖尿病或死亡的风险。
研究方法
研究使用英国临床实践研究数据(CPRD)GOLD数据库。研究纳入1998年1月1日至2018年11月30日期间首次诊断为糖尿病前期的所有个体。随后限制为18-100岁、且关联至英国医院诊疗统计住院患者数据库和国家统计局死亡登记数据的个体,排除糖尿病前期诊断时或之前已患癌症者,最终队列包含328,049人。
糖尿病前期定义为糖化血红蛋白(HbA1c)≥42至≤47 mmol/mol或空腹血糖≥5.5至≤6.9 mmol/L,同时纳入CPRD中糖尿病前期、糖耐量异常/调节受损或空腹血糖受损的临床诊断代码。
随访自糖尿病前期诊断日期至死亡或截止日期(2018年11月30日)。
统计分析
分层情况:
- 性别
- 糖尿病前期诊断年龄:<55岁、≥55至<65岁、≥65至<75岁和≥75岁组。
- BMI:<25 kg/m²、≥25至<30 kg/m²(超重)、≥30至<35 kg/m²(1级肥胖)、≥35至<40 kg/m²(2级肥胖)及≥40 kg/m²(3级肥胖)。由于体重过轻者(BMI<18.5 kg/m²)较少(n=3289,1%),未单独设组。
- 种族:白人、非白人。
- 2010年多重剥夺指数(IMD)用于描述社会经济状况,按五分位数分组。
研究构建了包含8个状态和7种状态转换路径模型。统计了各状态间转换人数和粗转换率。
针对各年龄组,对比了维持糖尿病前期和进展为2型糖尿病患者的癌症发病率。随后估算了随访期内(最长10年)的各个状态的状态占有概率和停留时间。
图.研究设置的8个状态和7种状态转换路径
状态占有概率可解释为特定时间点个体处于某特定状态的概率——由于状态互斥且穷尽,同一时间点各状态概率之和必为1。停留时间表示个体在特定时间范围内处于某状态的时长,各状态停留时间之和必等于总时间范围。
研究使用Royston-Parmor模型估计癌症发病率,并采用伪值法计算状态占有概率和停留时间。
研究结果
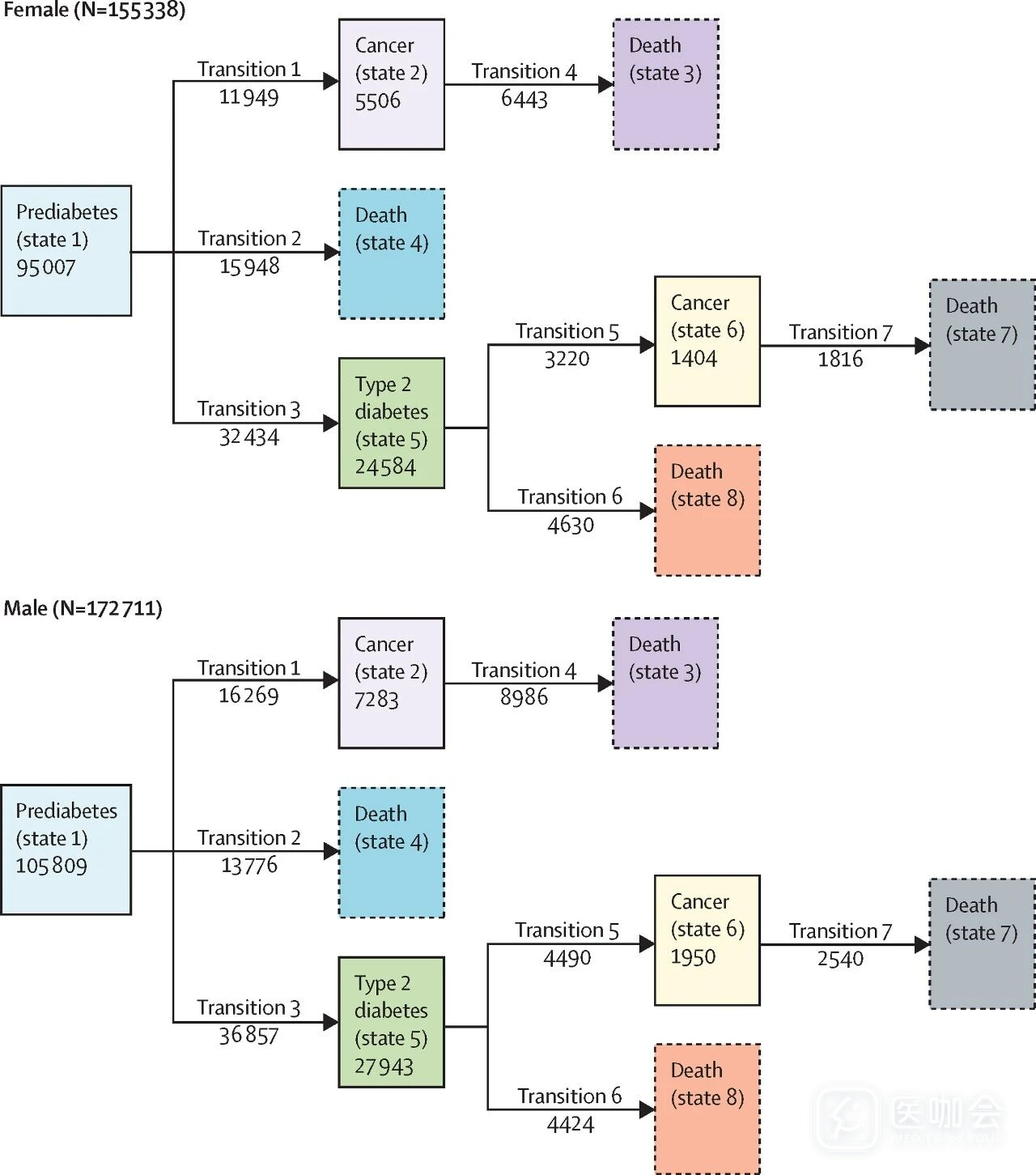
纳入328,049名糖尿病前期个体,女性155,338人(47.4%)。中位随访7.7年期间,共发生了163,782次状态转换:女性60,331人中发生76,440次转换,男性66,902人中发生87,342次转换。
发病率
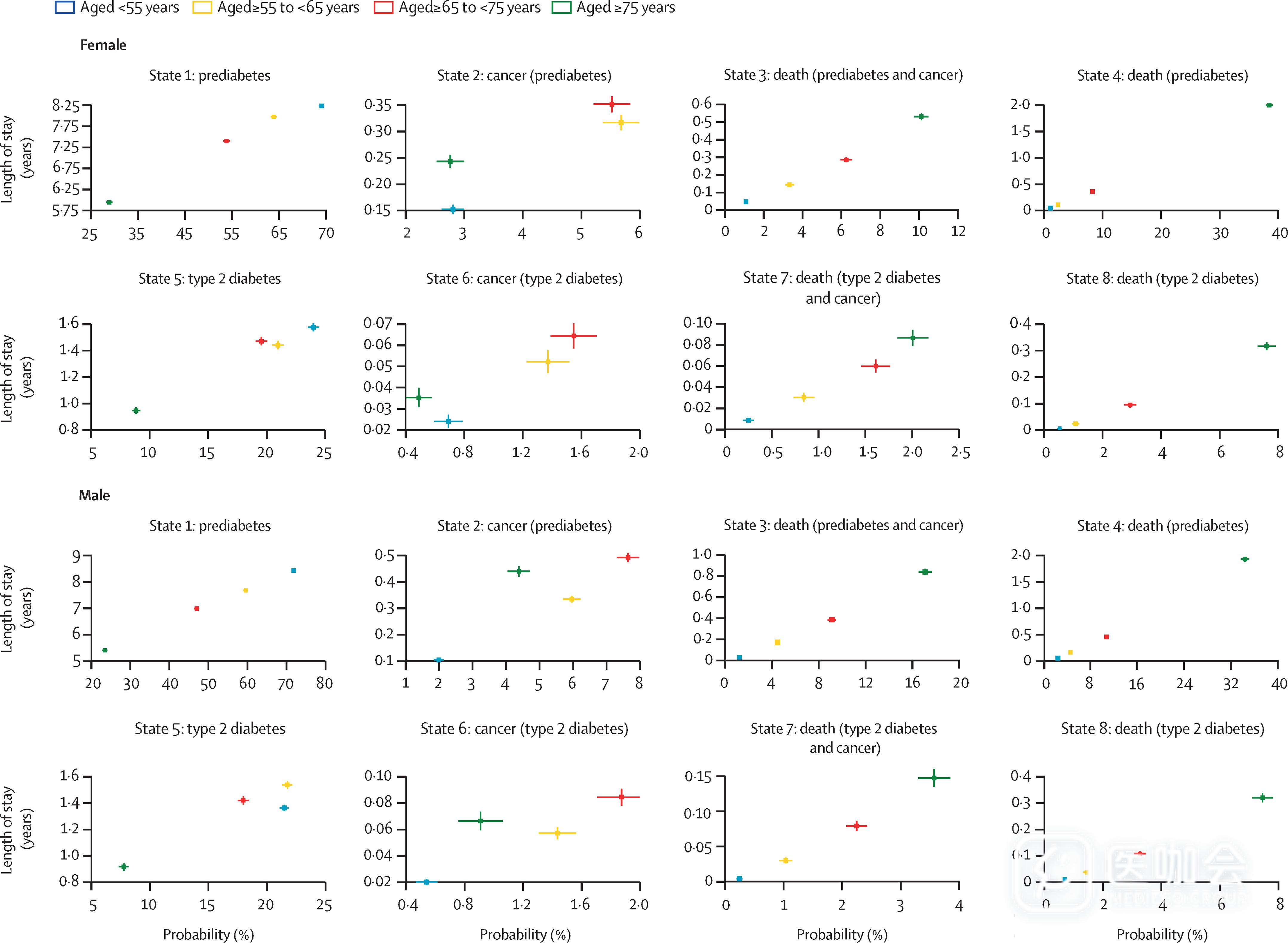
女性和男性均表现出:在年龄较高(≥75岁)时诊断糖尿病前期的癌症发病率更高;进展为2型糖尿病患者的癌症发病率仅略高于维持糖尿病前期状态的患者。
10年间,这两种状态的人群在≥75岁年龄组中平均发病率差异最大:女性相差4.1例/1000人年,男性为4.8例/1000人年。
状态占有概率及停留时间
随着时间推移,越来越多的女性从糖尿病前期转换为其他状态,10年间状态转换的概率如图,男性的结果与女性大体相似。
图.糖尿病前期女性和男性不同状态的转换概率(括号中为男性概率)
在10年内,女性维持在糖尿病前期状态的平均时间分别为:<55岁年龄组8.14年,≥55至<65岁7.88年,≥65至<75岁7.30年,≥75岁5.86年。男性为8.34年、7.60年、6.91年、5.34年。
除2型糖尿病状态和诊断糖尿病前期后死亡状态外,所有其他状态在所有年龄组的停留时间均≤1年。
图.诊断糖尿病前期后的状态占有概率和停留时间
风险因素
BMI、吸烟状况、社会经济情况、种族与状态占有概率、停留时间相关。
女性较高的BMI与糖尿病前期状态维持的概率下降、转换为2型糖尿病风险增加、转换为癌症风险增加相关,RR分别为0.67、2.95、2.50。男性群体中观察到的关联与女性基本一致。
讨论
研究显示,糖尿病前期患者与2型糖尿病患者的癌症发病率相似。从状态占有概率可以看到:糖尿病前期诊断10年后,≥75岁和<55岁维持糖尿病前期的患者分别占25–30%、70%;糖尿病前期进展为死亡的概率为35–40%、1–2%;进展为2型糖尿病并维持的概率为8–9%、22–24%;所有年龄患癌症并维持的概率为2%-8%。在10年随访期间,除≥75岁年龄组主要处于糖尿病前期或死亡状态,大部分患者主要处于糖尿病前期或2型糖尿病状态。
这些数据提示,三种结局的绝对风险随年龄差异巨大,任何旨在降低糖尿病前期患者死亡、2型糖尿病或癌症风险的策略,必须考虑诊断年龄。吸烟、社会经济情况、种族和BMI虽与疾病轨迹独立相关,但关联强度普遍较弱。
研究优势
- 研究使用多状态模型,更真实反映疾病自然进展史,提供比竞争风险模型更精细的疾病全轨迹信息。
- 糖尿病前期诊断标准可能随时间变化,研究通过混合诊断代码和生物标志物定义研究人群,并采用固定阈值确保一致性。
研究局限性
- 多状态模型在大型数据集中存在扩展性挑战,现实应用需简化,以保证可解释性和计算可行性。
- 缺乏CPRD诊断代码的敏感性/特异性数据;
- 糖尿病前期或2型糖尿病诊断后最初2年癌症发病率较高,部分原因可能是反向因果关系或偏倚影响;
- 癌症风险随时间的变化轨迹可能被血糖控制、癌症类型等研究未考虑的因素影响;
- BMI、吸烟、IMD和种族数据存在缺失;
- 研究中假设疾病状态累积、不可反向转换;
- 随访时间限定为10年。
研究结论
通过量化糖尿病前期患者中2型糖尿病与癌症的同步发展轨迹,研究揭示将这两种疾病割裂看待会存在局限性。糖尿病前期与2型糖尿病诊断后相似的癌症发病率表明,连接2型糖尿病与癌症的机制可能在2型糖尿病获得临床诊断前就已启动。
诊断糖尿病前期后,2型糖尿病与癌症的发展轨迹因诊断年龄差异显著,社会人口学和生活方式因素影响次之。年轻患者(<55岁)多数长期维持在糖尿病前期状态。针对糖尿病前期人群的糖尿病与癌症防治策略,需依据其诊断年龄进行个性化制定。
参考文献:Lancet Diabetes Endocrinol. 2026 Jan;14(1):41-49. doi: 10.1016/S2213-8587(25)00285-2.
