Nature Medicine:补充复合维生素可以延缓衰老吗?

2026年3月,《Nature Medicine》发布了一篇文章,探讨了每日服用复合维生素-矿物质(MVM)补充剂和可可提取物对衰老指标的影响。研究发现:每日服用MVM补充剂是一种安全、易获取且低成本的干预措施,可能减缓老年人的表观遗传衰老速度,尤其是已经出现生物衰老加速的个体。
原文链接:https://www.nature.com/articles/s41591-026-04239-3
研究背景
据估计,全球成人疾病负担中约有一半可归因于衰老相关疾病。生物衰老可以反映随着实际年龄增长而出现的系统性功能逐渐衰退,DNA甲基化在该过程中发生显著变化。表观遗传时钟基于DNA甲基化构建,其与实际年龄回归的残差已成为捕捉衰老相关变化的有力工具,用于评估生物衰老过程、预测年龄相关结局。
MVM补充剂是一种常见的膳食补充剂,既往研究显示其可能降低癌症风险,延缓年龄相关记忆力衰退和认知能力下降。可可黄烷醇也被证明能够降低多种与年龄相关的慢性疾病及心脏代谢结局的风险。但目前仍不清楚这两种补充剂是否能直接延缓生物衰老过程。
这项预设辅助研究调查了在无重大疾病的健康老年人中,为期2年的MVM补充剂和可可提取物,对测量表观遗传衰老的DNA甲基化指标的影响。
研究方法
COSMOS是一项大型、随机、双盲、安慰剂对照、2×2析因试验,旨在测试可可提取物补充剂(每日500mg可可黄烷醇)和MVM补充剂对美国中老年人(女性≥65岁,男性≥60岁)心血管疾病和癌症的影响。
纳入标准:(1)无心梗/卒中史;(2)过去两年内无侵袭性癌症史(非黑色素瘤皮肤癌除外);(3)无影响入组的严重疾病(包括肾衰竭和透析);(4)愿意在试验期间放弃服用可可提取物和MVM补充剂(巧克力摄入不受限制),并将所有补充来源的维生素D摄入量限制在≤1,000 IU/d,钙≤1,200 mg/d;(5)没有可可或咖啡因过敏史;(6)成功完成至少2个月的安慰剂导入期,且研究药物依从性大于75%。
在2016年4月-2018年3月期间,共有21,442名参与者被随机分配到四个治疗组:(1)活性可可提取物+活性MVM;(2)活性可可提取物+MVM安慰剂;(3)活性MVM+可可提取物安慰剂;(4)两种均为安慰剂。
使用区组长度为12的随机化,分组对研究者设盲,并按性别、年龄和招募来源分层。
COSMOS血液亚队列中,有1,829名参与者在基线、随访第1年和第2年提供了血液样本。
本研究为COSMOS的辅助研究(ancillary study),研究随机选取参与者进行DNA甲基化评估,最终选择998名参与者。纳入本研究的参与者总体上代表了整个COSMOS血液亚队列以及整个COSMOS试验人群。
图.入组流程
生物衰老
DNA甲基化评估:共有2,815份可用DNA甲基化数据样本(基线样本958份,第1年样本934份,第2年样本923份),覆盖822,759个CpG位点。
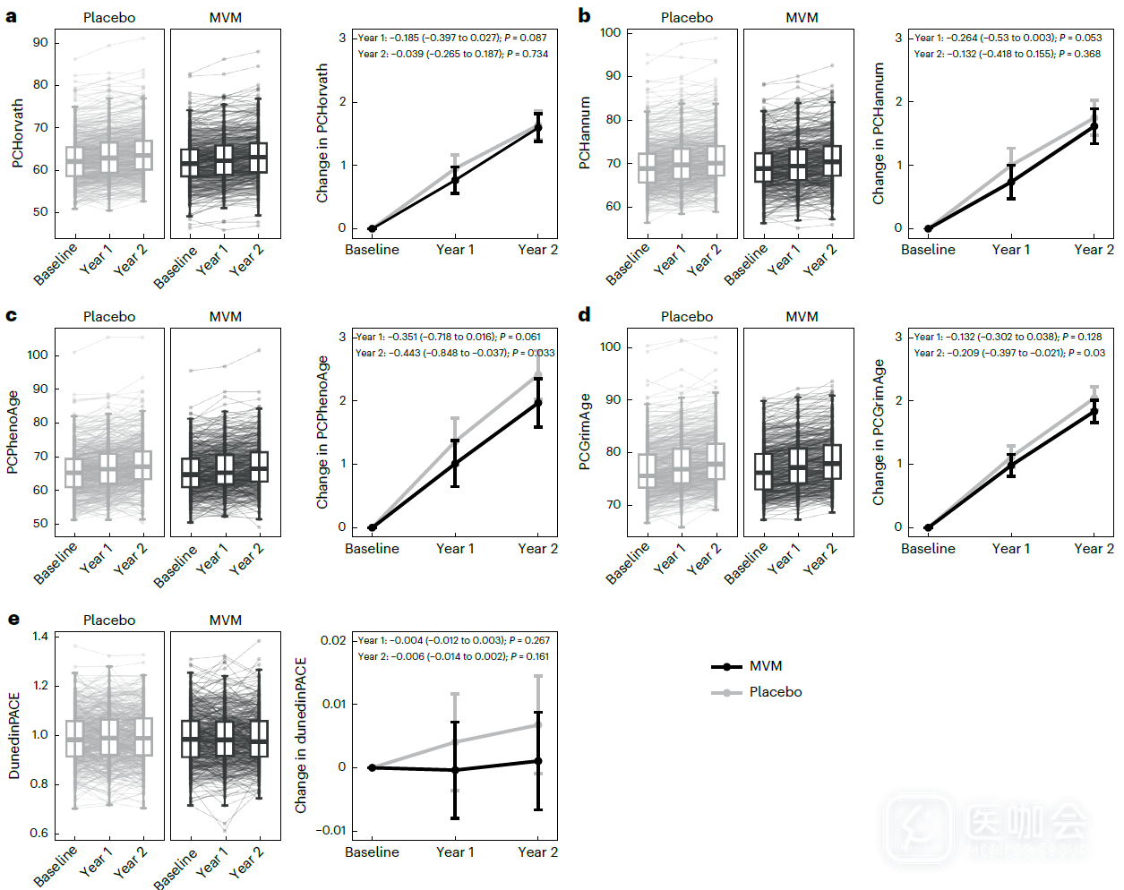
DNA甲基化时钟(DNAm clocks)是一种算法,整合了全基因组DNA甲基化测量信息,以量化生物年龄的表观遗传时钟变异。本研究关注与主要疾病发病率和死亡率密切相关的五种常用指标:PCHannum和PCHorvath是第一代时钟,预测实际年龄;PCPhenoAge和PCGrimAge是第二代时钟,预测死亡;DunedinPACE是第三代时钟,预测系统完整性和衰老速度。
表观遗传年龄偏差通过对时钟与实际年龄进行残差计算,正值表示衰老加速。DunedinPACE为每实际年对应的生物年龄年数,值大于1表示衰老速度更快。
统计分析方法
本研究遵循意向性治疗原则,纳入了所有在基线和至少一个随访时间点拥有可用DNA甲基化数据的参与者。使用线性混合效应模型评估干预措施对各表观遗传时钟变化的影响,估计干预组和安慰剂组的表观遗传时钟值年变化及其组间差异。
模型调整以下协变量:基线实际年龄、性别、基线时钟值、招募来源以及另一项干预措施,并包含了随机干预分组与时间(第0、1、2年)的交互项。
使用具有非结构化协方差矩阵的重复测量混合模型,估算第1年和第2年的组间差异。
研究结果
本研究最终包含958名参与者和2,815份样本,参与者平均70.2岁,女性占比50.3%。MVM补充剂组包含476名参与者,525名被分配至可可提取物组。
MVM补充剂和可可提取物对生物衰老的影响
MVM补充剂组和安慰剂组中,随访2年的第一代和第二代时钟的数值均较基线显著增长。
对于第一代时钟的年变化,MVM补充剂组与安慰剂组无显著差异。
对于第二代时钟,MVM补充剂较安慰剂显著减缓了表观遗传衰老速度:
- PCPhenoAge的年变化组间差异为-0.214年(95% CI -0.410至-0.019;P=0.032)
- PCGrimAge的年变化组间差异为-0.113年(95% CI -0.205至-0.020;P=0.017)
对于第三代时钟,安慰剂组DunedinPACE数值显著增加,MVM补充剂组基本保持稳定。年变化组间差异并不显著,但从第1年到第2年有所增大。
与安慰剂相比,可可提取物组的五种表观遗传衰老时钟,均未显示显著获益。
图. MVM补充剂组和安慰剂组的五种指标变化
基线期生物年龄高于实际年龄人群:MVM补充剂的影响
在基线时PCGrimAge显示加速衰老(即PCGrimAge偏差>0)的参与者中,与安慰剂相比,MVM补充剂可显著减缓PCGrimAge的增长速度,组间差异为-0.236年(95% CI -0.380至-0.091)。
基线PCGrimAge偏差较低的参与者中,MVM补充剂未产生显著效果(组间差异为-0.013年[95% CI -0.130至0.104],交互作用P=0.018)。
讨论
COSMOS是一项大规模随机对照试验,旨在评估MVM干预能否预防、延缓或减轻衰老。这项辅助研究通过纵向测量表观遗传时钟,研究了每日补充MVM补充剂和可可提取物对生物衰老的影响。
PCPhenoAge和PCGrimAge的结果显示,为期2年每日补充MVM对延缓老年人群的生物衰老具有轻微但统计学显著的保护作用,其他三种表观遗传时钟未观察到这种效应。
此外,基线时生物衰老程度较高的参与者,每日服用MVM补充剂的获益可能更明显,这表明对于那些正处于加速衰老过程中的个体,补充剂可能提供更强的衰老保护作用。
研究的五种时钟未发现可可提取物延缓生物衰老的证据。
通过表观遗传时钟观测到的MVM补充剂的效应,与COSMOS等既往研究中基于临床终点观测到的获益方向一致。未来需要进一步的研究来确定,长期服用MVM补充剂所引起的表观遗传时钟增长速度的轻微减缓,最终是否能转化为具有临床意义的健康获益。
研究局限性
- 研究仅纳入老年人,结果外推受限。
- 本研究中未进行多重性校正。因为此类校正的假设检验要求独立,而不同时钟之间存在高度相关性,不适用该假设。进行校正可能会增加排除真阳性结果的风险。
- DNA甲基化检测技术局限性导致的任何随机测量误差,都可能使效应估计值偏向无效假设。研究中MVM补充剂对生物衰老的影响可能被低估。
- 研究虽然纳入了代表多代生物衰老概念的、较新且常用的表观遗传时钟,但年龄增长伴随的生物学变化未能被这些DNA甲基化指标完全捕获。可应用更先进的表观遗传学测量方法,进一步探索MVM补充剂对生物衰老的影响。
- 研究评估了2年的效果,不清楚更长时间的影响。
研究结论
本研究通过一项大规模的随机对照试验表明,每日服用MVM补充剂是一种安全、易获取且低成本的干预措施,可能减缓老年人的表观遗传衰老速度,尤其是已经出现生物衰老加速的个体。可可提取物未对这些衰老指标产生影响。
未来需要更多研究来验证这些发现,并确定MVM补充剂在全生命周期内对延长健康寿命的作用。
参考文献:Nat Med 32, 1012–1022 (2026). https://doi.org/10.1038/s41591-026-04239-3
医咖会员全面升级,课程增多,AI工具升级!点击链接:会员-医咖社区 (mediecogroup.com),立享会员优惠!
