中国研究发柳叶刀子刊:内脏脂肪面积是糖尿病肾病的显著风险因素
2026年4月,《Lancet diabetes & Endocrinology》发表了上海交通大学医学院附属瑞金医院王卫庆教授及其团队开展的一项研究,探讨了直接测量的内脏脂肪面积(VFA)与糖尿病肾病的关联。研究发现:VFA是糖尿病肾病的显著风险因素,且呈现出性别特异性模式。
原文链接:https://www.thelancet.com/journals/landia/article/PIIS2213-8587(26)00001-X
研究背景
在预测肥胖相关代谢并发症方面,区域脂肪组织的分布与全身总脂肪量同等重要,甚至更为关键。内脏脂肪组织是腹型肥胖的核心特征,它表现出明显的性别差异,并与胰岛素抵抗、慢性炎症及代谢综合征密切相关。
内脏脂肪面积(VFA)是致病性脂肪的直接量化指标。在临床评估中纳入VFA、BMI状态及性别差异,可实现更精确的代谢风险分层。
糖尿病中VFA与大血管并发症的关系已较为明确,但其与微血管并发症,特别是与糖尿病肾病的关联研究仍显不足。现有研究存在使用VFA替代指标、横断面设计、样本量不足等局限性。
初步证据表明,VFA与糖尿病肾病的关联强度可能随BMI状态而变化,但这种交互作用尚未得到系统研究。
本研究旨在进一步探讨VFA与新发糖尿病肾病风险的关联,并分析该关联在不同性别和BMI人群中的差异。
研究方法
该研究为前瞻性队列研究,纳入了中国代谢管理中心(MMC)项目中来自640个中心的成年糖尿病患者。本次分析基线期为2017年6月1日至2024年6月26日,纳入≥18岁、确诊为糖尿病、完成了基线糖尿病肾病评估,截至2025年6月21日至少进行过一次随访且有可用数据的成年患者。排除基线时患糖尿病肾病、基线VFA数据缺失、随访期间缺失糖尿病肾病评估数据的参与者。
内脏脂肪面积测量与变量定义
使用生物电阻抗分析仪测量VFA及皮下脂肪面积。
基于传统的100 cm²截断值及限制性立方样条分析结果,将VFA分为六组:≤50 cm²、>50-≤75 cm²、>75-≤100 cm²、>100-≤125 cm²、>125-≤150 cm²及>150 cm²,并以最低风险点邻近区间作为参照组。
BMI分类:<24.0 kg/m² (非超重)、24.0~27.9 kg/m² (超重)、≥28.0 kg/m²(肥胖)。
糖尿病肾病定义为估算肾小球滤过率(eGFR)低于60 mL/min/1.73 m²,或尿白蛋白肌酐比(UACR)≥3.39 mg/mmol。
中介变量
所有中介变量均接受基线评估。连接VFA与糖尿病肾病风险的五个中介变量为:高甘油三酯血症、高血压、动脉僵硬度、糖化血红蛋白(HbA1c)升高及高尿酸血症。
统计分析
采用Cox比例风险模型探讨VFA与糖尿病肾病风险的关联。
- 模型1:调整年龄和性别;
- 模型2:在模型1的基础上调整糖尿病病程、HbA1c、高血压、基线eGFR、吸烟状况、教育水平、饮酒状况及BMI;
- 模型3:在模型2的基础上调整皮下脂肪面积。
使用含4个节点(第5、35、65和95百分位数)的限制性立方样条,拟合VFA与新发糖尿病肾病的关联。在女性参与者中,使用绝经状态进行分层分析。
为研究VFA与BMI的联合效应,按性别分层,在不同BMI类别中分析VFA与糖尿病肾病的关联。此外,基于年龄、性别、糖尿病病程、血糖控制情况及是否患有高血压进行交互作用分析。
研究进行了性别分层的中介效应分析,以探索VFA与糖尿病肾病关联间的中介因素。
研究结果
研究纳入93,532名参与者,女性35,667名(38.1%),中位55.0岁。中位随访18.4个月。27,486名(29.4%)参与者发生糖尿病肾病,发病率为16/100人年。
VFA与糖尿病肾病风险的关联
Cox回归分析显示,较高的VFA与糖尿病肾病风险增加显著相关。VFA每增加一个四分位数(IQR 52 cm²),糖尿病肾病风险随之升高(调整后HR 1.08,95% CI 1.05-1.10;p<0.0001);每增加一个标准差(SD,41 cm²)的结果与之类似(调整后HR 1.06,95% CI 1.04-1.08;p<0.0001)。
图.VFA与糖尿病肾病风险的关联
VFA与糖尿病肾病风险之间呈U型关联,这一模式随着调整变量的增加而愈发清晰。完全调整模型(模型3)显示,与VFA 50-75 cm²相比,低VFA人群(0-50 cm²)风险升高(调整后HR 1.08,95% CI 1.03-1.13;p=0.0007),VFA>75 cm²后,糖尿病肾病风险呈梯度上升。
限制性立方样条分析同样证实了U型关联(非线性检验p<0.0001),VFA 72 cm²对应的糖尿病肾病风险最低。
VFA与糖尿病肾病关联的性别差异
在男性患者中,VFA每增加一个IQR(53 cm²),糖尿病肾病风险显著增加,调整后HR为1.05(95% CI 1.02-1.08;p=0.0004);每增加一个SD(43 cm²),也显示糖尿病肾病风险显著增加,调整后HR为1.04(95% CI 1.02-1.07;p=0.0004)。与VFA 75-100 cm²相比,低VFA(0-50 cm²)和高VFA(>100 cm²)人群的糖尿病肾病风险均显著升高。
图.VFA与糖尿病肾病关联的性别差异
在女性患者中,VFA每增加一个IQR(46 cm²),糖尿病肾病调整后HR 为1.11(95% CI 1.08-1.15;p<0.0001);每增加一个SD(37 cm²),糖尿病肾病调整后HR为1.09(95% CI 1.07-1.12;<0.0001)。与50-75 cm²相比,VFA>75 cm²时风险显著升高,在低VFA(0-50 cm²)时未观察到显著关联。
限制性立方样条分析显示两种性别均存在显著的非线性关系(非线性检验p≤0.0001):男性患者表现为U型关联(VFA 80 cm²风险最低),女性患者则表现为J型关联(VFA 58 cm²风险最低)。
图.限制性立方样条分析不同性别人群中的关联
BMI分层分析
男性参与者中始终观察到U型关联。
- 非超重:VFA两端风险升高,VFA 0-50 cm²,调整后HR 1.12;VFA>125 cm²,调整后HR 1.25。
- 超重:VFA≤50 cm²,调整后HR 1.15;100-125 cm²,调整后HR 1.10;>125 cm²,调整后HR 1.15。
- 肥胖:所有VFA类别的风险均显著升高,且在两端最高,VFA≤50 cm²,调整后HR 2.15;>125 cm²,调整后HR 1.31。
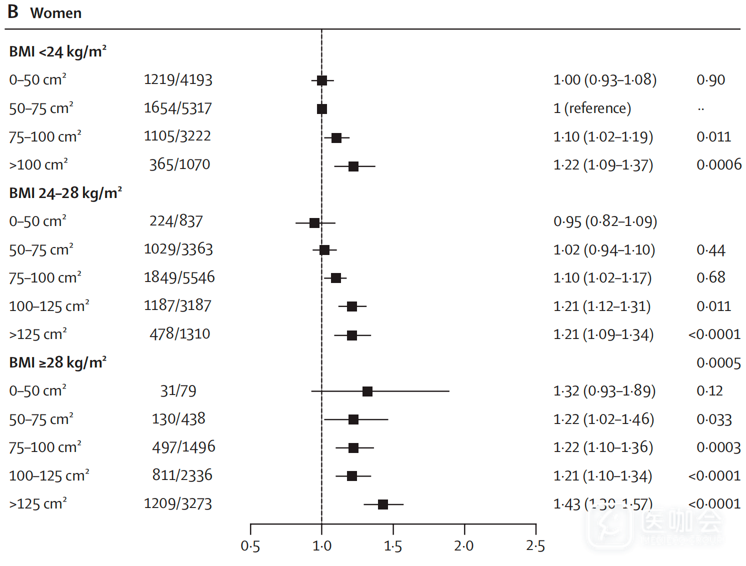
在女性参与者中:
- 非超重和超重:糖尿病肾病风险均从VFA>75 cm²开始升高。两个人群中VFA 75-100 cm²的糖尿病肾病调整后HR均为1.10。
- 肥胖:风险显著增加扩展至较低的VFA水平(50-75 cm²,调整后HR 1.22)。
图.不同性别中,BMI分层分析VFA和糖尿病肾病的关联
交互作用
在两个性别的人群中,HbA1c与高血压在关联中均存在显著调节作用(交互作用p值均<0.05),且呈现出性别特异性:
- 在男性中,HbA1c升高(≥53 mmol/mol [7.0%])和高血压会放大低VFA时的糖尿病肾病风险,同时减弱高VFA(>125 cm²)带来的风险。
- 女性中,高血压或HbA1c升高会提高风险发生的阈值,并降低关联中的峰值风险。
中介效应
在男性中,高甘油三酯血症的解释比例最大(40.40%),其次是高血压(24.78%)、动脉僵硬度(22.99%)、HbA1c升高(11.92%)和高尿酸血症(7.21%)。在女性中,高甘油三酯血症(16.36%)和高血压(12.69%)是主要的中介因素。动脉僵硬度(8.45%)、HbA1c升高(7.70%)和高尿酸血症(1.84%)也有一定贡献。
讨论
这项前瞻性研究调查了93532名糖尿病患者中VFA与糖尿病肾病的关联。结果表明,VFA与糖尿病肾病风险显著相关,且存在性别特异性。男性呈现出U型关联,在低VFA和高VFA人群中糖尿病肾病风险均显著增加。女性则表现为梯度效应,糖尿病肾病风险随VFA升高而逐步增加。这种性别差异的整体模式在不同BMI分层中保持一致。
这是目前规模最大的、使用直接测量的VFA分析其与糖尿病肾病风险关联的前瞻性研究,并按性别和BMI进行了分层分析。
本研究证实,VFA是糖尿病肾病的显著风险因素,较高的VFA水平与糖尿病肾病风险显著增加相关,这与先前的研究结果一致。在性别特异性关联上,本研究显示出显著差异。
研究优势
- 通过生物电阻抗分析直接定量测量VFA,有足够大的样本量,使得研究能够按性别和BMI类别进行分层分析。
- 研究使用eGFR和UACR作为双重诊断标准,全面评估肾功能。
研究局限性
- 糖尿病肾病的诊断依赖于单次实验室评估,未在3个月内进行确认,且缺乏活检验证,可能包含了暂时性异常。
- 研究结论的普适性可能受到人群和VFA专用设备测量的限制。
- 自我报告数据可能存在回忆偏倚,排除数据缺失参与者可能导致选择偏倚。
- 未考虑死亡的竞争风险。
- 观察到的性别差异的生物学机制,尤其是男性低VFA风险升高,目前仍是推测性的,有待进一步研究。
研究结论
VFA是糖尿病肾病的显著风险因素,且呈现出性别特异性模式,且这种模式在不同BMI分层中持续存在。这些发现支持进行精确的临床风险分层,并提示男性低VFA人群是一个此前被忽视的高风险人群。
参考文献:Lancet Diabetes Endocrinol. 2026 May;14(5):401-411. doi: 10.1016/S2213-8587(26)00001-X.
医咖会员全面升级,课程增多,AI工具升级!点击链接:会员-医咖社区 (mediecogroup.com),立享会员优惠!

