JAMA:意大利1591例进入ICU的COVID-19患者的特征和临床结局
近日,JAMA刊登了一篇文章《 Baseline Characteristics and Outcomes of 1591 Patients Infected With SARS-CoV-2 Admitted to ICUs of the Lombardy Region, Italy 》,探讨了意大利伦巴第大区在重症监护病房(ICU)进行治疗的1591例COVID-19患者的特征和结局。
原文链接:
https://jamanetwork.com/journals/jama/fullarticle/2764365
研究方法
作者对2020年2月20日至3月18日期间意大利1591例经实验室确诊并转入ICU的COVID-19患者进行了回顾性分析。最后的随访日期是2020年3月25日。
作者收集了患者的人口统计学和临床数据,包括临床管理、呼吸衰竭和死亡的数据。
基线特征
本报告最终纳入了1591名经实验室确诊的COVID-19重症患者。表1显示了患者的人口统计学和临床特征。
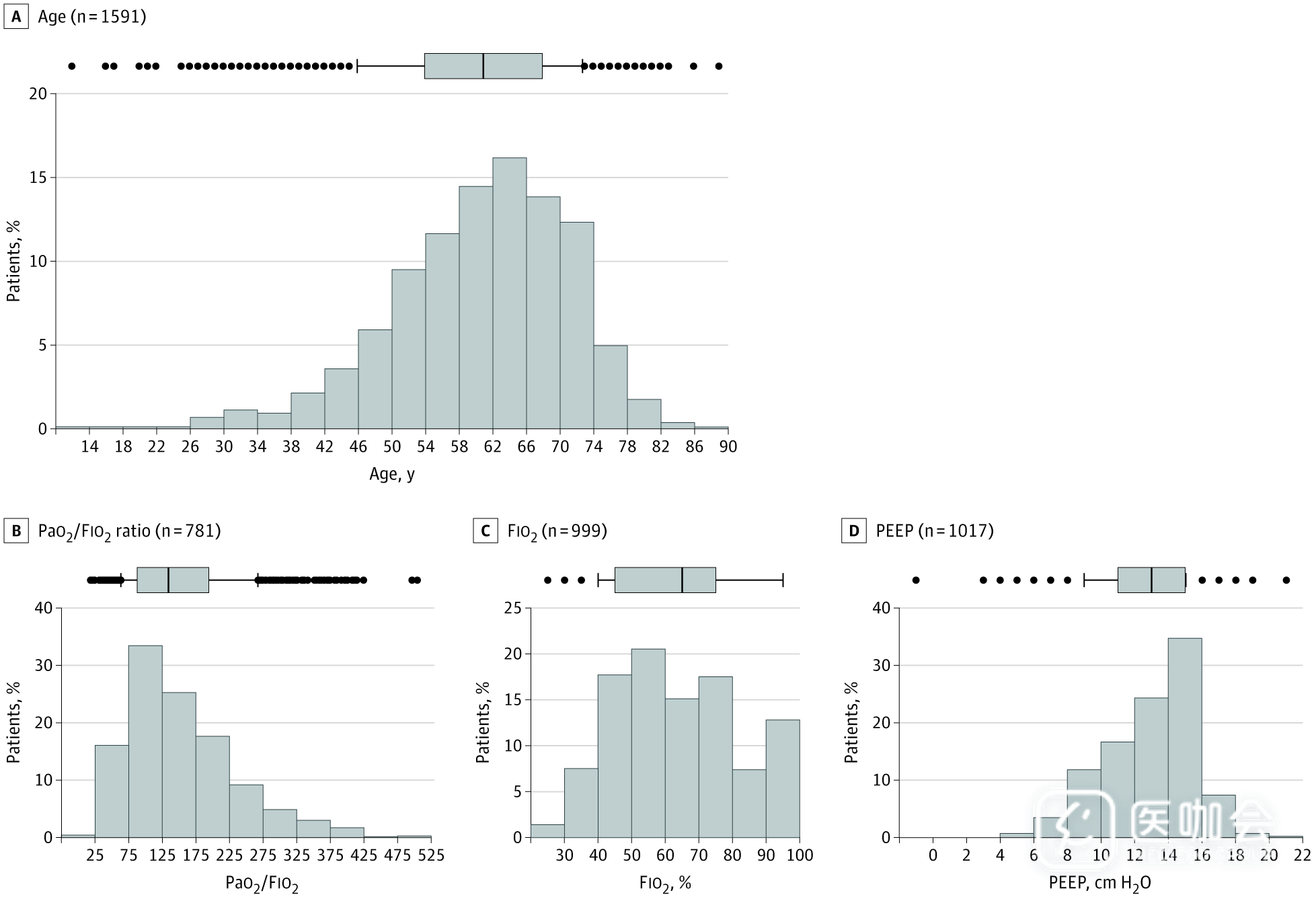
总体而言,82%的患者为男性,男性在所有年龄段的分布情况相似。1591名重症患者的年龄中位数为63岁(IQR,56-70)。363名患者(23%)年龄≥71岁,203名患者(13%)年龄<51岁。本报告根据年龄中位数进行了分层分析(≤63岁 vs ≥64岁)。
表1. 人口统计学和临床特征
近日,JAMA刊登了一篇文章《 Baseline Characteristics and Outcomes of 1591 Patients Infected With SARS-CoV-2 Admitted to ICUs of the Lombardy Region, Italy 》,探讨了意大利伦巴第大区在重症监护病房(ICU)进行治疗的1591例COVID-19患者的特征和结局。
原文链接:
https://jamanetwork.com/journals/jama/fullarticle/2764365
研究方法
作者对2020年2月20日至3月18日期间意大利1591例经实验室确诊并转入ICU的COVID-19患者进行了回顾性分析。最后的随访日期是2020年3月25日。
作者收集了患者的人口统计学和临床数据,包括临床管理、呼吸衰竭和死亡的数据。
基线特征
本报告最终纳入了1591名经实验室确诊的COVID-19重症患者。表1显示了患者的人口统计学和临床特征。
总体而言,82%的患者为男性,男性在所有年龄段的分布情况相似。1591名重症患者的年龄中位数为63岁(IQR,56-70)。363名患者(23%)年龄≥71岁,203名患者(13%)年龄<51岁。本报告根据年龄中位数进行了分层分析(≤63岁 vs ≥64岁)。
表1. 人口统计学和临床特征
68%的患者至少存在1种基础疾病。高血压最常见,根据可获得的数据,509例(509/1043,49%)患者有高血压,其次是CVD(223例,21%)和高胆固醇血症(188例,18%)。42例患者(4%)有慢性阻塞性肺疾病。
80岁以上的患者都至少有1种基础疾病;≥65岁以上的650例患者中,496例(76%)至少存在1种基础疾病。
呼吸支持治疗
研究者共收集到1300例患者呼吸支持治疗的数据,其中有1287例患者(99%)需要有创或无创呼吸支持。1150例患者(88%)需要气管插管和机械通气,137例患者(11%)接受了无创通气治疗。
645名≤63岁的患者中有565例(88%)、655名≥64岁的患者中有585例(89%)接受了有创机械通气治疗(P=0.33)。≤63岁的患者中有70例(11%)、≥64岁的患者中有67例(10%)接受了无创通气治疗(P=0.71)。
入组患者的呼气末正压通气(PEEP)中位数为14 cmH2O(IQR 12-16)(n = 1017)。在999名有相关可用数据的患者中,887名(89%)患者吸入气中的氧浓度分数(Fio2)至少为50%,120例(12%)为100%。患者的氧合指数(Pao2 / Fio2)中位数为160(IQR,114-220)(n = 781)。
下图显示了不同年龄患者的PEEP,Fio2和Pao2 / Fio2的情况。入院时,240例患者采用俯卧通气治疗,5例患者需要体外膜氧合(ECMO)治疗。
患者结局
截至2020年3月25日,1581名入住ICU的患者中,仍有920名患者(58%)在ICU;256名患者(16%)出ICU;405人(26%)在入住ICU期间死亡。
年龄较小患者(≤63岁)的死亡率显著低于年龄较大的患者(≥64岁)(15% vs 36%;差异-21%[95%CI,-26% to -17%];P<0.001)。年龄较小患者中出ICU的比例更高(21% vs 11%;差异为9%[95%CI,6%-13%];P <0.001)(表2)。
表2. 患者的临床结局
截至2020年3月25日,所有入组患者在ICU的中位持续时间为9天(IQR 6-13)(n = 1591)。仍在ICU的患者(n = 920),ICU中位持续时间为10天(8-14);已出ICU的患者(n = 256),ICU中位持续时间为8天(5-12);期间死亡的患者(n = 405),ICU中位持续时间为7天(5-11)。
总结
本研究显示,意大利伦巴第大区ICU收治的COVID-19重症患者中,以老年男性居多,需要机械通气的比例较大,ICU死亡率为26%。
扫码关注“医咖会”公众号,及时获取最新重磅研究

