Lancet子刊:不同年龄段的COVID-19病死率
自COVID-19疫情爆发以来,众多研究都在关注COVID-19的病死率。2020年3月30日,Lancet子刊 《Lancet infectious Diseases》刊登了一篇文章《Estimates of the severity of coronavirus disease 2019:a model-based analysis》[1],对COVID-19的病死率进行了更为全面的分析,并估算了不同年龄段的病死率情况。
研究者收集了湖北省早期COVID-19死亡患者的个案数据(数据来自国家卫健委和湖北省卫健委,日期截止到2020年2月8日),分析早期死亡患者的特征。
研究者还收集了中国大陆以外地区的COVID-19病例数据,包括中国香港、中国澳门以及37个国家/地区,日期截止到2020年2月25日。研究利用165名康复患者数据来估算发病到康复的时间;利用1334例病例数据来估算病死率。
研究者从《中国-世卫组织新冠联合考察报告》中抽取了2020年1月1日至2月11日在中国经PCR和临床确诊的70117例COVID-19病例数据,此期间,共报告了1023例死亡。研究者基于这些数据获得不同年龄段的病死率情况。
自COVID-19疫情爆发以来,众多研究都在关注COVID-19的病死率。2020年3月30日,Lancet子刊 《Lancet infectious Diseases》刊登了一篇文章《Estimates of the severity of coronavirus disease 2019:a model-based analysis》[1],对COVID-19的病死率进行了更为全面的分析,并估算了不同年龄段的病死率情况。
研究方法
研究者收集了湖北省早期COVID-19死亡患者的个案数据(数据来自国家卫健委和湖北省卫健委,日期截止到2020年2月8日),分析早期死亡患者的特征。
研究者还收集了中国大陆以外地区的COVID-19病例数据,包括中国香港、中国澳门以及37个国家/地区,日期截止到2020年2月25日。研究利用165名康复患者数据来估算发病到康复的时间;利用1334例病例数据来估算病死率。
研究者从《中国-世卫组织新冠联合考察报告》中抽取了2020年1月1日至2月11日在中国经PCR和临床确诊的70117例COVID-19病例数据,此期间,共报告了1023例死亡。研究者基于这些数据获得不同年龄段的病死率情况。
图1. COVID-19病例谱
研究结果
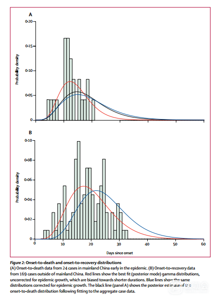
疾病流行早期在中国大陆死亡的24例COVID-19病例中,研究估计从发病到死亡的平均时间为18.8天(95%CI 15.7–49.7;图2),变异系数为0.45(95%CI 0.29-0.54)。由于样本量小,并且是流行初期的数据,因此没有排除极值(从发病到死亡时间很长的数据),因此可信区间的上限较高。此后中国的流行趋势减缓,再次估计的数据会更为精确(平均时间 17.8天[95%CI 16.9–19.2])。
作者使用中国大陆以外169例康复病例的数据进行了分析,估计发病到康复的平均时间为24.7天(95%CI 22.9–28.1),变异系数为0.35(0.31-0.39;图2)。
以上两个估计值都与中国的另一项研究[2]一致。(详见:Lancet最新文章:武汉COVID-19住院患者的临床进程及死亡危险因素分析)
图2. 发病到死亡和发病到康复的患者分布
病死率是根据中国大陆确诊病例和死亡的汇总数据进行估算的(表1)。包含流行初期的病例在内,大部分病例来自武汉。结果显示,武汉市病例的年龄分布与中国其他地区有所不同(图3A)。武汉市报告的病例年龄更偏大,可能正反映了病情更严重的现象,而武汉市以外的病例可能受到年龄和旅行相关性这一偏倚的影响。
调整相关因素后,研究估计≥80岁人群的病死率最高,为13.4%(95%CI 11.2–15.9%)(图3B,表1),较小年龄与较低病死率存在相关性,0-9岁年龄段的病死率最低(0.00260%[0.000312-0.0382])。
表1. 基于中国大陆的数据,估计不同年龄人群的病死率
图3. 基于中国大陆的数据,估计不同年龄人群的病死率
中国大陆以外报告的病例中,作者使用参数模型估计的总病死率为2.7%(95%CI 1.4-4.7)(表2)。在那些报告有中国旅行史的病例中,估计总体病死率为1.1%(0.4–4.1),而那些无报告中国旅行史的病例中,估计病死率为3.6%(1.9–7.2)。与≥60岁的人群相比,<60岁人群的病死率较低(4.5%[1.8-11.1] vs 1.4%[0.4–3.5])。非参数模型得出的结果类似(表2)。
表2. 基于中国大陆以外的数据估计的病死率
参考文献:
1. Lancet Infect Dis 2020. Published Online March 30, 2020
https://doi.org/10.1016/S1473-3099(20)30243-7
2. Lancet 2020; 395: 1054–62
扫码关注“医咖会”公众号,及时获取最新重磅研究

